Volunteer potato risk in Michigan

Learn more about the risks and management of volunteer potatoes.

Volunteer potatoes growing in a corn field.
Volunteer potatoes in corn. Photo by Zsofia Szendrei, MSU.

Volunteer crops are a unique type of weed. They occur when the remains of a previously grown crop are present in a field that has been rotated to a different crop. Volunteer potatoes are particularly problematic because leftover tubers in the ground produce new daughter tubers and can continue to emerge years after the initial planting. These plants not only pose a contamination risk and compete with other field crops for resources but can also act as a reservoir for pests and pathogens of potato.

Volunteers are problematic partly because they compete with crops, but their presence can also lead to severe issues with pest management in nearby potato fields. Since potato pests can survive on potato volunteers, they can provide sources of infestations for new fields. Colorado potato beetle and late blight are two especially problematic pests that can be associated with volunteer potatoes. Colorado potato beetle adults live on volunteers in the spring and move into production fields during the summer when volunteers are completely consumed. This leads to waves of beetle infestations over time that are more difficult to target with management methods.

Late blight outbreaks originating from volunteer potato tubers and plants have also been reported. If the winter is warm enough to leave all potential volunteer tubers viable, there are chemical control methods to kill them, but they are not always reliable, and there is limited research in focal crops outside of field corn. Even if the above-ground portion is killed off, the parent tuber can produce new growth, and they often emerge too late to spray without damaging the crop plant they are intermixed with. Therefore, preventative measures are going to be the most efficient and cost-effective for growers.

The probability for volunteer potato emergence is determined by the amount and depth of tubers remaining in the soil after harvest. With sufficient cold exposure, the tuber will not survive the winter, and tubers closer to the surface have more cold exposure than those deeper in the soil. If a tuber is below 4 inches of soil, they are unlikely to be exposed to temperatures below the viability threshold of 50 frost hours at or below 28 degrees Fahrenheit. For the potatoes closer to the surface, there is a model that considers the variation in soil temperature by depth. This model estimates the risk of volunteer survival using soil temperatures at 2- and 4- inches, and the number of hours where soil temperature is under 27 F between Nov. 1 and March 31, referred to here as frost hours. Low risk (1) is defined as >120 hours at both 2- and 4-inches depth, medium risk (2) is >120 at 2 inches and <120 hours at 4 inches, and high risk (3) is <120 hours at both 2 and 4 inches (Figure 1). Hourly soil temperature data comes from Michigan State University Enviroweather which has 99 stations in Michigan and 13 stations in Wisconsin active since 1999.

Map of Michigan highlighting volunteer potato risk based on soil temperature.
Figure 1. Volunteer potato risk based on soil temperature, 1999-2024. Low risk values (1-2, blue) indicate low risk of potato volunteer survival. High risk values (above 2, red) indicate that the risk of potato volunteer survival is high.

As volunteer potatoes occur in fields that were previously planted with potato, they are most common in areas with high amounts of potato production. To determine the potato intensity risk, we used the United States Department of Agriculture CroplandCROS data from 2019-2024. We calculated the average potato area across the same 10 km grid, and by county. The joint risk value was generated by weighing the potato intensity value and adding it to the soil temperature risk value (Figure 2).  

Map of Michigan showing average volunteer potato risk based on soil temperature and potato intensity.
Figure 2. Average volunteer potato risk based on soil temperature and potato intensity.

The mean soil temperature at 2 inches for the risk period is 35.91 degrees ± 5.37 F, and ranged from 9.18-81.86 F. The mean temperature at 4 inches was 36.27 ± 5.26 F with a range of 13.06-79.77 F. The trend across all years (1999-2024) is that most, if not all, of the state has the highest risk value (Figure 1). It seems even 20+ years ago, Michigan winters were routinely warm enough for volunteer potato establishment across the entire state. There are only three years where the risk value was below 3 in large areas of the Lower Peninsula in Michigan: 2003, 2014 and 2015. Across the entire state, the areas with some years of lowered risk are the Upper Peninsula and the area around Saginaw Bay. The potato intensity is highest in two centers of potato production in Michigan, Montcalm and St. Joseph counties, as well as Bay, Antrim and Kalkaska counties. Thus, when we generate a joint risk value, the St. Joseph and Montcalm areas have the highest joint risk, while the entire area around Saginaw Bay, except where potato intensity is highest, are rated as the lowest risk, along with the eastern and western edges of the Upper Peninsula (Figure 2).

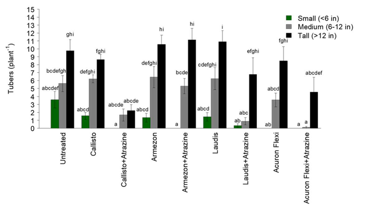
Volunteer potatoes are an issue in crops grown in rotation with potatoes, including corn, winter wheat, soybeans, dry beans, alfalfa and sugarbeets. Volunteer potatoes are difficult to control and there are currently no herbicides available that will completely control volunteer potatoes and significantly reduce the number of daughter tubers produced per plant. However, researchers at Michigan State University (MSU) have conducted volunteer potato control studies over 2 years to investigate a suite of potential herbicide combinations in corn (Figure 3). The study applied nine treatments (an untreated control and four herbicides alone and paired with atrazine) to small plants (height < 6 inches), medium plants (6-12 inches) and large plants (< 12 inches).

A bar graph.
Figure 3. Mean daughter tubers produced per plant at the Montcalm Research Center.  Herbicides were applied to potatoes at three different ages, represented by their height (small, medium, tall). Bars that share the same letters are not significantly different (P ≤ 0.05).

There are two important takeaways from the results. First, the addition of atrazine to herbicide treatments improved control by reducing the number of mean daughter tubers per plant (Figures 3 and 4). The addition of atrazine led to the biggest difference when paired with Callisto and Laudis but had less of an effect when paired with Amazon. Second, as the height of volunteer potatoes increased, control decreased. When applications were made to small plants, five of the treatments resulted in < 1 daughter tubers produced per plant. When applications were made to medium plants, two of the treatments resulted in < 1 daughter tubers, and none of the tall plants (Figure 3). There are also differences in the relative size and health of the plants (Figure 4).

Volunteer potato control at different stages.
Figure 4. Volunteer potato control 30 days after application. A = Callisto, B = Callisto + Atrazine, C = Armezon/Impact, D = Armezon/Impact + Atrazine, E = Laudis, F= Laudis + Atrazine, G = Acuron Flexi, H = Acuron Flexi + Atrazine. From left to right herbicide.

In addition to these treatments, we also tested glyphosate in both years; however, control was inconsistent across years. When planning future crop rotations, consult Table 12-Herbicide Crop Rotation Restrictions in the Michigan State University Extension Weed Control Guide for Field Crops for rotation restrictions. We have not investigated control in other crops, but research from other universities has shown various levels of control or suppression with the following:

  • Control in winter wheat: Utilize group 4 herbicides (2,4-D, dicamba, MCPA, starane, stinger) and group 27 (Huskie).
  • Control in soybean: Reflex (fomesafen), Raptor (imazamox), Roundup (glyphosate), approved dicamba and 2,4-D. Ensure soybean traits allow postemergence applications of these herbicides.
  • Control in dry bean: Raptor (imazamox), Basagran (bentazon).
  • Control in alfalfa: Raptor (imazamox), Pursuit (imazethapyr-methyl), 2,4-DB.
  • Control in sugarbeet: Nortron (ethofumesate), Stinger (clopyralid).

We further investigated the efficacy of tank mixing insecticides along with herbicides used in corn to evaluate crop safety, volunteer control and Colorado potato beetle abundance in corn. Two herbicides, Callisto and Armezon, and two insecticides, Coragen and Radiant, were evaluated and applied to volunteers. Overall, tank mixing the herbicides and insecticides evaluated in this study did not result in significant corn injury (mean injury less than 3%) or impact volunteer control (Figure 5). However, these tank mixtures reduced Colorado potato beetle abundance on volunteer potatoes by an average of 94% across each treatment, with no significant differences between treatments (Figure 6).

Volunteer potatoes with Callisto-Coragen applied to them.
Figure 5. Callisto-Coragen applied to > 6-inch-tall volunteers, photo taken seven days after application.
A bar graph.
Figure 6. Colorado potato beetle presence on volunteer potatoes that received herbicide-insecticide application (bars 1-4) or were untreated (bar 5).

These results suggest that while growers face generally high risk of volunteer potato survival due to lack of frost hours, there are areas of Michigan with slightly lower volunteer risk. However, any area with high potato intensity is also more likely to have volunteer potatoes. There are chemical control methods that can be used, and tank-mixing herbicides and insecticides can successfully reduce Colorado potato beetle abundance on volunteers, even if there is limited impact on the volunteer plants. Overall, our results suggest that Michigan farms are experiencing warming winters and future research needs to consider how these changing climate norms impact management practices.

This work is supported by the Crop Protection and Pest Management Program [grant no 2024-70006-43569] from the USDA National Institute of Food and Agriculture. Any opinions, findings, conclusions, or recommendations expressed in this publication are those of the author(s) and do not necessarily reflect the view of the U.S. Department of Agriculture. 

 

Did you find this article useful?