Seasonal temperatures, fruit development and storability: How does 2024 compare to the previous 17 years?

Field temperatures affect fruit condition and storability. Look back at seasonal temperatures across Michigan and what it means for Gala fruit development.

Apples in storage that have decayed and become over ripe.
Figure 1. Overripe and decayed Gala fruit harvested after a heat wave in 2017 and stored (duration and storage conditions not known).

Apple fruit development is highly dependent on the temperature of the environment. Temperature affects bloom date, the rate of growth and the rate of fruit maturation. Post-harvest, it also impacts the rate of ripening and fruit long-term storability. In some cases, the harvest of warm, ripe fruit followed by less-than-ideal storage regimens can result in debilitating losses due to decay and loss in condition; we observed this scenario following a heat wave in 2017 (Figure 1). In the current year, the National Oceanic and Atmospheric Administration reported the January–July global surface temperature of 2024 “ranked warmest in the 175-year record at 1.28 degrees Celsius (2.30 degrees Fahrenheit) above the 20th century average of 13.8 C (56.8 F).” In keeping with these predictions, initial apple maturity assessments for Michigan indicate the current year is approximately advanced by 10 days to two weeks relative to historical averages.

To get a better understanding of the impact of temperature on the apple season and the potential future impact of growing season temperatures, we performed an analysis of the daily growing degree days using a base temperature of 50 F (GDD50). The GDD50 relates to the difference between the average daily temperature and 50 F. We collected Baskerville Emin GDD50 data from the Michigan State University Enviroweather site for the Northwest Michigan Horticulture Research Station (NWMHRS), the Clarksville Research Center (CRC), the Hart Station (HART) and the Southwest Michigan Research and Extension Center (SWMREC) from March1, 2007 to Aug. 31, 2024. Where data were missing (0.5% incidence), we averaged GDD values before and after the omission.

The number of daily GDD50 for each site increased from near zero at the beginning of March to average around 20 GDD50 by mid- July, declining thereafter (Figure 2). Interestingly, the range in GDD, even in July, ranged from as low as 7 to as much as 38. This wide range in GDD was found to be possible for nearly any day of the growing season. Even in mid-March, there were days accumulating as much as 26 GDD. Comparing the seasonal trends for the four sites after the first of May bloom time for apple, SWMREC accumulated approximately 1 to 2 more GDD50 than Clarksville (CRC) and 2 to 3 more than NWMHRS. Surprisingly, there was only a very slight difference in the trends of GDD50 for NWMHRS and HART, with HART being only slightly warmer.

This means the southwest Michigan region gains about 150 – 300 GDD50 on average over CRC and 300 – 450 over NWMHRS. Given that the mid-season average GDD50 is about 20, this translates to one to two weeks advancement for the southern Michigan regions, on average, over the northern apple production regions.

A graph.
Figure 2. Growing degree days (GDD50) for each day of the season between March 1 and Nov. 1 for the years 2007 to 2023 and March 1 to Aug. 31 for 2024 for the Northwest Michigan Horticulture Research Station (NWMHRS, blue symbols and line), the Clarksville Research Center (CRC, red symbols and line) and the Southwest Michigan Research and Extension Center (SWMREC, green symbols and line). The lines represent the best fit for a simple polynomial equation GDD = X2 + aX + b, where X= day of the year. Not shown is the data from Hart station, which had a trend very similar to that of the NWMHRS.

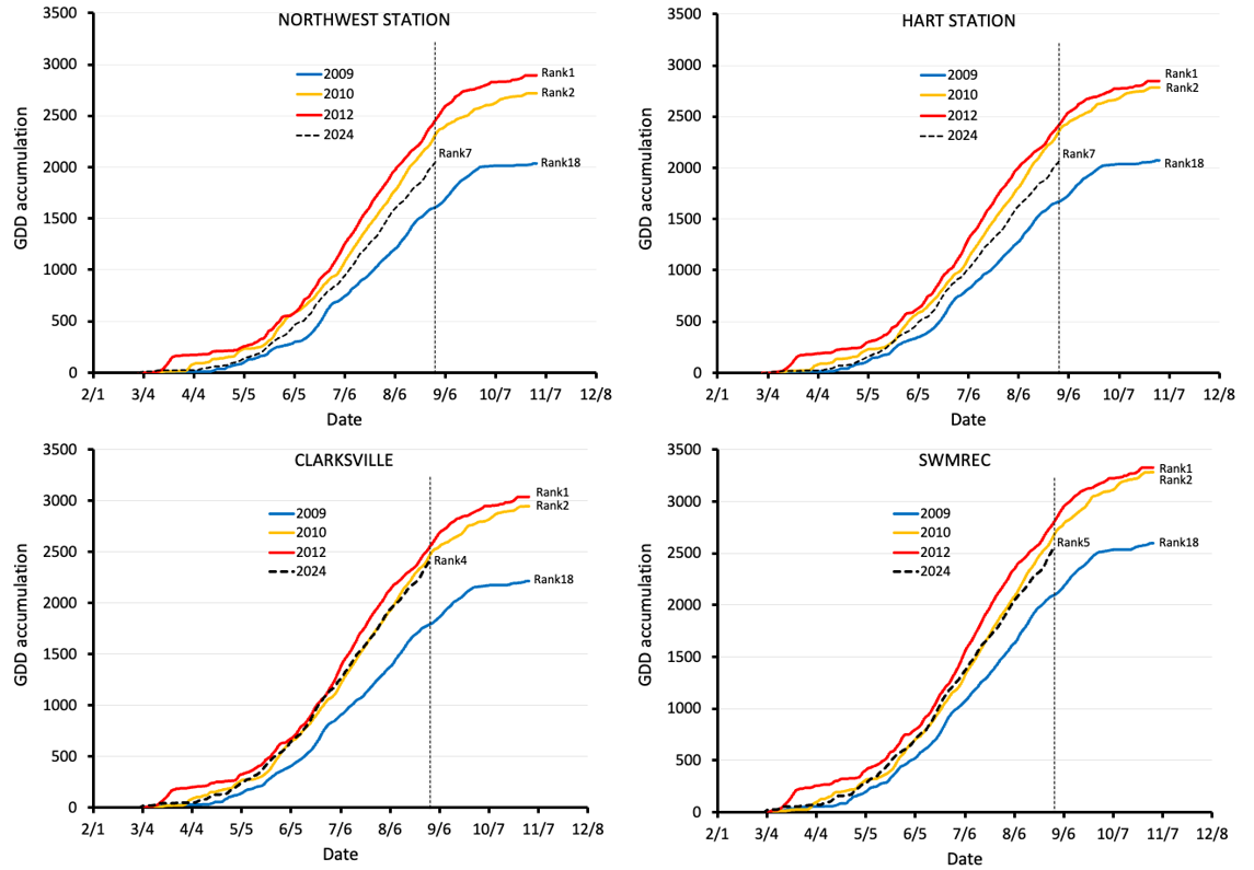
As of the end of August, the cumulative GDD50 was highest in 2012, second highest in 2010 and lowest in 2009 over the past 18 years (Figure 3, Table 1). The year 2024, by Aug. 31, was fourth and fifth highest for CRC and SWMREC and seventh highest for HART and NWMHRS. It is relevant to note that until about Aug. 1, the GDD50 accumulation was second highest ever for the southernmost stations, suggesting a very early harvest date would ensue. In casual observations over the years, the accumulation of approximately 2,200 GDD50 seems to be sufficient to yield mature, ready-to-ripen Gala fruit. In comparing the four regions evaluated, the 2,200 GDD50 maturity dates were anticipated to be Aug. 17 and Aug. 24 for SWMREC and CRC, respectively and anticipated to be Sept. 8 and 9 for HART and NWMRES (Figure 4). These dates are earlier than the dates predicted by bloom data published by Michigan State University Extension for the southern regions, where the temperatures were much higher than average compared to the northern two stations, which experienced only a slightly warmer than normal year (Table 1).

Four different graphs.
Figure 3. Accumulation of growing degree days (GDD50) for the hottest (Rank 1), second hottest (Rank 2), the coolest (Rank 18) and the current year as of Aug. 31 of each year (2007 to 2024) for the Northwest Michigan Horticulture Research Station (NWMHRS), the Hart Station (HART), the Clarksville Research Center (CRC) and the Southwest Michigan Research and Extension Center (SWMREC).
Table 1. Growing degree days, base 50 F (GDD50) for the five major apple production regions in Michigan (courtesy of Erin Lauwers).
Region

Current

5 Yr Average (2019-2023)

GDD increase

Days advancement

2024 predicted harvest

SWMREC

2487.3

2333.5

153.8

9.0

August 24

Romeo

2329.4

2225.6

103.8

6.5

August 29

Sparta 20m

2234.6

2133.2

101.4

6.3

August 26

Hart

2017.4

1953.1

64.3

4.3

Sept. 4

NWMHRS

1995.2

1948.8

46.4

3.1

Sept. 6

A line graph.
Figure 4. The accumulation of growing degree days (GDD50) in 2024 for the Northwest Michigan Horticultural Research Station (NWMHRS), the Clarksville Research Center (CRC), the Hart Station (HART) and the Southwest Michigan Research and Extension Center (SWMREC). Circles indicate the predicted harvest date based on bloom date and temperatures in the month following bloom (https://www.canr.msu.edu/tag/apple-harvest-dates). Arrow indicates the date (Aug. 19) when the starch index for Gala in southwest Michigan exceeded long-term storage limits.

A measure of the environmental heat being experienced by the fruit is the rate at which growing degree days accumulate. When we look at only the southwest station, we see that during the very warm 2017 year, there was a very high spike in the rate of GDD50 accumulation (Figure 5). This coincided with a statewide heat wave in early- to mid-September that dramatically reduced the quality and storability of the Gala crop in the northern regions of the state where Gala had not yet been harvested. This year (2024), a spike in GDD50 accumulation took place in late August, coinciding with the Gala harvest in that region. The inference is that Gala storability might be compromised. Fruit maturity reports from Michigan State University Extension indicate a 5-pound drop in firmness between Aug. 26 and Sept. 3, coinciding with this year’s late summer heatwave (Table 2).

A line graph.
Figure 5. The rate of accumulation of growing degree days (GDD50) for the hottest (Rank 1), and the coolest (Rank 18) full season, and the current year as of Aug. 31 for the Southwest Michigan Research and Extension Center (SWMREC). A spike means warmer temperatures and a higher rate of GDD accumulation.
Table 2. SWMREC maturity data for Gala apple fruit in 2024 (courtesy of Bill Shane).

 Date

Red Color (%)

Firmness (lbs)

Starch (1-8)

Soluble Solids (°Brix)

Aug. 19

86 (70-98)

18.9 (16-22)

5.0 (2.8-7.4)

11.6 (11-12.3)

Aug. 26

87 (70-97)

17.2 (14.7-22.3)

6.0 (4.2-7.0)

12.8 (12.1-13.4)

Sep. 3

99 (97-100)

12.5 (12-13)

7.6 (7.2-8)

12.9 (12.3-14.1)

Finally, it may be worthwhile to look at some GDD50 trends in the 18-year span of the data for the four regions investigated to anticipate weather-related shifts in plant responses in the future. If we look at the accumulation of GDD50 before March 1 or after Nov. 1, clear and quite similar trends appear for all four regions (Figure 6). Early spring data shows trends of increasing GDD50 pre-season, averaging about 0.35 GDD50 per year. However, it is notable that the trend in the southern part of Michigan seems to be higher than in the north. Post-seasonal accumulation of GDD50 is also expected to increase. The average rate of increase is about 3 times higher than the spring warming, averaging 0.95 GDD50 per year during this period. The impact of warmer temperatures early and late in the year may impact emergence from and establishment of dormancy, respectively.

During the season, the expectation is that GDD50 accumulation will also increase approximately 7.6, 11.0, 2.8 and 3.4 GDD50 per year in the coming years for SWMREC, CRC, NWMHRS and HART based on the data collected (Figure 6). Since an average seasonal daily GDD50 accumulation during the summer months is currently about 15 to 20 GDD, this means the growing season will shift earlier one day every 2 to 5 years. Of course, this supposes current trends will continue, but they may speed up or slow relative to these observations.

Collectively, the data demonstrate the variability of the seasonal accumulation of GDD50 and provide some insight as to the impact of accumulated GDD50 on fruit maturation and potential for storage. Fruit growth, maturation and ripening are all impacted by temperature; warm years, and even warm spells during the season will alter these physiological processes. Warmer growing seasons will certainly push growers to continue to plant early coloring strains so that color development does not limit consumer acceptability. Additionally, closely monitoring temperatures may help in scheduling the application of harvest aids like ReTain and Harvista and help suppress the impact of early seasons and heat waves on fruit condition following storage.

Three different line graphs.
Figure 6. The accumulation of growing degree days (GDD50) for the Northwest Michigan Horticultural Research Station (NWMHRS), the Clarksville Research Center (CRC), the Hart Station (HART) and the Southwest Michigan Research and Extension Center (SWMREC) before March 1 (upper panel), after Nov. 1 (middle panel), and during the season of Mar. 1 to Nov. 1 (bottom panel) from 2007 to Aug. 31, 2024. The slope indicates an increasing trend for heat accumulation before and after the apple season over the 18-year time period shown - approximately 0.95 GDD per year in the fall, 0.35 GDD per year in the spring, and 6.2 GDD during the growing season.

Did you find this article useful?